Archives Le marché du travail : publication

Publié le 26 août 2015 - Pays de la Loire

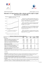
Le marché du travail : publication - Juillet 2015

Après la diminution observée le mois dernier,  la demande d’emploi de catégorie A  se stabilise en juillet  en Pays de la Loire, en données CVS :  -0,0% (soit 30 personnes de moins). Ainsi, à fin juillet 176 241 personnes sont inscrites à Pôle emploi en catégorie A. La situation régionale est légèrement moins bien orientée qu’au niveau national où la demande d'emploi  diminue -0.1%. Ce mois-ci, la situation sur le marché du travail régional est plus favorable à la demande d’emploi  féminine (-0.2%) que  masculine  (+0.1%). Les jeunes demandeurs d’emploi voient leur nombre diminuer de          -0.7%. La catégorie des demandeurs d’emploi âgés de 25 à 49 ans enregistre également une baisse de -0.3%. La demande d’emploi des 50 ans et plus  est la seule à progresser avec +1.2% sur juillet 2015. Deux groupes de département se forment. D'un côté, la Loire-Atlantique (-0,5%) et la Vendée (-0,4%) sont mieux orientés que la moyenne régional. De l'autre côté, le Maine-et-Loire (+0,2%), la Mayenne (+0,9%) et  la Sarthe (+0,9%) affichent une progression de leur demande d'emploi catégorie A.   Sur un an, la demande d'emploi de catégorie A est en hausse en Pays de la Loire (+5.0%).La situation régionale est supérieure à la moyenne nationale (+3.9%). En intégrant l'activité réduite, 311 272 personnes sont inscrites à Pôle emploi Pays de la Loire. On enregistre une légère diminution de la demande d’emploi régionale (catégories A, B, C) au cours du mois de juillet 2015 (-0.1%) soit 380 personnes en moins, cette situation est mieux orientée qu’au niveau national ( +0,3% soit 15 100 personnes en plus). Avertissement : À compter de juin 2015, Pôle emploi accède à des données administratives plus complètes lui permettant de mieux classer les demandeurs d’emploi en formation, en service civique ou en contrat aidé dans l’insertion par l’activité économique dans la catégorie correspondant à leur situation. Ces opérations, réalisées principalement sur le mois de juin 2015, se poursuivent à la marge en juillet et ont un impact à la baisse sur les évolutions du nombre de demandeurs d’emploi en catégories A, B et C.
Télécharger
Publié le 24 juin 2015 - Pays de la Loire

Le marché du travail : publication - Mai 2015

La région des Pays de la Loire affiche en mai, une dégradation de la situation du marché du travail, +1.7% en données CVS. Ainsi, à fin mai 2015, 178 298 personnes sont inscrites en catégorie A (soit 2 952 personnes en plus). La situation régionale est moins bien orientée que celle de la France métropolitaine où la demande d’emploi augmente de 0.5% soit 16 200 demandeurs d’emploi en plus.    En mai, la situation sur le marché du travail régional est plus favorable à la demande d’emploi féminine (+1.6%) que masculine (+1.8%). Les demandeurs d’emploi de moins de 25 ans voient leur nombre progresser (+2.3%). La demande d’emploi des 50 ans et plus poursuit sa progression (+2.0%). Tous les départements affichent une augmentation de la demande d’emploi catégorie A. La Sarthe (+2.7%) et la Loire Atlantique (+1.8%) connaissent les situations les plus dégradées. Le Maine et Loire (+1.4%), la Vendée (+1.2%) et la Mayenne (+0.5%) affichent une progression inférieure à la moyenne régionale.    Sur un an, la demande d'emploi de catégorie A est en hausse en Pays de la Loire (+7.0%). La situation régionale est supérieure à la moyenne nationale (+ 5.0%). En intégrant l'activité réduite, 311 789 personnes sont inscrites à Pôle emploi Pays de la Loire. On enregistre à nouveau une progression régionale de la demande d’emploi (catégories A, B, C) au cours du mois de mai  2015 (+1.3%) soit 4 134 personnes en plus, évolution équivalente au niveau national (+1.3% soit 69 600 personnes en plus).   Avertissement : Chaque mois, les demandeurs d’emploi doivent actualiser leur situation pour rester inscrits à Pôle emploi ; 5 jours avant la clôture de cette campagne d’actualisation, un message de relance est envoyé aux demandeurs d’emploi qui ne l’ont pas encore fait. Au mois de mai 2015, constatant que le nombre de demandeurs d’emploi ayant actualisé leur situation à la suite de la relance habituelle était sensiblement plus faible que d’ordinaire, Pôle emploi a procédé à deux relances supplémentaires. Ces particularités ont eu, ce mois-ci, un impact à la baisse sur le nombre de sorties de catégories A, B, C pour défaut d’actualisation et, par conséquent, à la hausse sur le nombre de demandeurs d’emploi en catégories A, B, C.  
Télécharger
Publié le 1 juin 2015 - Pays de la Loire

Le marché du travail : publication - Avril 2015

Après la progression observée le mois dernier,  la demande d’emploi de catégorie A diminue en avril en Pays de la Loire, en données CVS, de 0.1% (soit 140 personnes en moins). Ainsi, à fin avril 2015, 175 346 personnes sont inscrites en catégorie A. La situation régionale est mieux orientée que celle de la France métropolitaine où la demande d’emploi augmente de 0.7% soit 26 200 demandeurs d’emploi en plus.      En avril, la situation sur le marché du travail régional est plus favorable à la demande d’emploi masculine (-0.3%) que féminine (+0.2%). Les demandeurs d’emploi de moins de 25 ans voient leur nombre diminuer (-1.4%). La demande d’emploi des 50 ans et plus poursuit sa progression (+0.3%).   L’analyse départementale fait apparaitre des situations contrastées. Ainsi seul les départements de la Sarthe et de la Vendée affichent une diminution de la demande d’emploi catégorie A en données CVS avec respectivement -0.6% et -1.1%. La Mayenne connait la plus forte progression (+1.4%). L’augmentation est de moindre ampleur pour la Loire Atlantique (+0.2%) et le Maine et Loire (+0.1%)     Sur un an, la demande d'emploi de catégorie A est en hausse en Pays de la Loire (+6.2%). La situation régionale est supérieure à la moyenne nationale (+ 5.1%).   En intégrant l'activité réduite, 307 655 personnes sont inscrites à Pôle emploi Pays de la Loire. On enregistre à nouveau une progression régionale de la demande d’emploi (catégories A, B, C) au cours du mois d’avril 2015 (+1.2% soit 3 635 personnes en plus), évolution plus marquée qu’au niveau national (+1.0% soit 54 100 personnes en plus).   Information : À compter d'avril 2015, les données STMT sont issues d'une nouvelle chaîne informatique de production. Le traçage des entrées est amélioré : celles qui étaient dues à un changement d’agence locale pour l'emploi au sein d’une même région, sans que la sortie correspondante soit enregistrée, ne sont plus comptabilisées. Le nombre d’entrées est donc désormais légèrement plus faible et l'écart comptable entre la variation du nombre de demandeurs d'emploi en catégories A, B, C et le solde des entrées et des sorties est réduit. Pour le reste, la nouvelle chaîne informatique n’a pas d’impact sur les statistiques produites."  
Télécharger
Publié le 27 avr. 2015 - Pays de la Loire

Le marché du travail : publication - Mars 2015

Après une diminution du nombre d’inscrits en catégorie A en février 2015, la région des Pays de la Loire affiche en mars, une dégradation de la situation du marché du travail (+0.5% soit 878 personnes en plus). Ainsi, à fin mars 2015, 175 486 personnes sont inscrites en catégorie A. La situation régionale est moins bien orientée que celle de la France où la demande d’emploi augmente de 0.4% soit 15 400 demandeurs d’emploi en plus.      En mars, la situation sur le marché du travail régional est plus favorable à la demande d’emploi féminine (+0.3%) que masculine (+0.7%). Les demandeurs d’emploi de moins de 25 ans voient leur nombre augmenter (+2.1%). Il en est de même pour la demande d’emploi des 50 et plus qui poursuit sa progression (+0.2%).   Tous les départements affichent au mois de mars une augmentation de la demande d’emploi sans activité réduite. Avec +0.1% de croissance, la Loire Atlantique et la Vendée affichent la plus faible hausse. Les départements de la Sarthe (+0.9%), du Maine et Loire (+1.0%) et de la Mayenne (+1.5%) enregistrent les plus fortes progressions mensuelles.   Sur un an, la demande d'emploi de catégorie A est en progression en Pays de la Loire (+6.2%). La situation régionale est supérieure à la moyenne nationale (+ 4.9%).   En intégrant l'activité réduite, 304 020 personnes sont inscrites à Pôle emploi Pays de la Loire. On enregistre à nouveau une progression régionale de la demande d’emploi (catégories A, B, C) au cours du mois de mars 2015 (+0.6% soit 1 842 personnes en plus), évolution plus marquée qu’au niveau national (+0.5% soit 28 000 personnes en plus).
Télécharger
Publié le 25 mars 2015 - Pays de la Loire

Le marché du travail : publication - Février 2015

La demande d’emploi catégorie A affiche à nouveau une diminution en février en Pays de la Loire, en données CVS, de - 0.1% soit 168 personnes en moins. Ainsi, à fin février 2015, 174 608 personnes sont inscrites en catégorie A. La situation régionale mieux orientée que celle de la France où la demande d’emploi augmente de 0.4% soit 12 800 demandeurs d’emploi en plus.      En février, la situation sur le marché du travail régional est plus favorable à la demande d’emploi masculine (-0.4%) que féminine (+0.2%) Les demandeurs d’emploi de moins de 25 ans voient leur nombre diminuer (-0.6%). En revanche, la demande d’emploi des 50 et plus s’accroit (+0.6%).   L’analyse départementale fait apparaitre des situations contrastées. Ainsi, le département de la Loire Atlantique et le département de la Mayenne affichent une hausse de la demande d’emploi avec respectivement (+0.2%) et (+2.0%) en catégorie A en données CVS. A l’inverse, le département du Maine et Loire (-0.1%) de la Sarthe (-0.9%) et de la Vendée (-0.6%) enregistrent une baisse.   Sur un an, la demande d'emploi de catégorie A est en progression en Pays de la Loire (+5.8%). La situation régionale est supérieure à la moyenne nationale (+ 4.6%).   En intégrant l'activité réduite, 302 178 personnes sont inscrites à Pôle emploi Pays de la Loire. On enregistre à nouveau une progression régionale de la demande d’emploi (catégorie A, B, C) au cours du mois de février 2015 (+0.8% soit 2339 personnes en plus), évolution plus marquée qu’au niveau national (+0.6% soit 12 800 personne en plus).
Télécharger
Publié le 26 févr. 2015 - Pays de la Loire

Le marché du travail : publication - Janvier 2015

La région des Pays de la Loire voit la situation du marché du travail s’améliorer en janvier et affiche une diminution de -0.2% en données CVS. Ainsi, à fin janvier 2015, 174 777 personnes sont inscrites en catégorie A soit 319 personnes en moins. La situation régionale est moins bien orientée que celle de la France où la demande d’emploi diminue de 0.5% soit 19 100 demandeurs d’emploi en moins.      En janvier, la situation sur le marché du travail régional est plus favorable à la demande d’emploi féminine (-0.4%) que masculine (0.0%) Les demandeurs d’emploi de moins de 25 ans voient leur nombre diminuer (-1.0%). Il en est de même pour la demande d’emploi des 50 ans (-0.3%).   L’analyse départementale fait apparaitre des situations contrastées. Ainsi, le département de la Mayenne et le département de la Vendée affichent une diminution de la demande d’emploi avec respectivement (-3.3%) et (-0.1%) en catégorie A en données CVS. A l’inverse, le département de la Sarthe enregistre une hausse de 0.2%. Les départements de la Loire Atlantique et du Maine et Loire se stabilisent (-0.0%).   Sur un an, la demande d'emploi de catégorie A est en progression en Pays de la Loire (+6.7%). La situation régionale est supérieure à la moyenne nationale (+ 4.8%).   En intégrant l'activité réduite, 299 839 personnes sont inscrites à Pôle emploi Pays de la Loire. On enregistre une augmentation de +0.3% de la demande d’emploi régionale (catégories A, B, C) au cours du mois de janvier 2015 (soit  971 personnes en plus). Cette situation est similaire à la moyenne nationale qui affiche pour le mois de janvier une progression de +0.3% (soit 16 100 personnes en plus)
Télécharger
Publié le 27 janv. 2015 - Pays de la Loire

Le marché du travail : publication - Décembre 2014

Après la progression observée le mois dernier, la demande d’emploi de catégorie A diminue en décembre en Pays de la Loire, en données CVS, de -0.2% soit 344 demandeurs d’emploi en moins.  La situation régionale est ce mois ci est mieux orientée qu’au niveau France où la demande d’emploi a progressé de +0.2% soit 8 100 demandeurs d’emploi en plus.      En décembre, la situation sur le marché du travail régional est plus favorable à la demande d’emploi masculine (-0.3%) que féminine (-0.1%). Les demandeurs d’emploi de moins de 25 ans voient leur nombre progresser (+0.5%). La catégorie des demandeurs d’emploi âgés de 25 à 49 ans enregistre une baisse (-0.4%). La demande d’emploi des 50 ans et plus diminue légèrement de -0.1%.   Excepté, la Vendée qui affiche une augmentation de la demande d’emploi catégorie A en données CVS (+0.1%), les départements de la Loire Atlantique et de la Mayenne (-0.3%) enregistrent une diminution supérieure à la moyenne régionale. Le Maine et Loire et la Sarthe (-0.2%) connaissent une situation équivalente à la moyenne régionale. Sur un an, la demande d'emploi de catégorie A est en progression en Pays de la Loire (+7.5%). La situation régionale est supérieure à la moyenne nationale (+ 5.7%). En intégrant l'activité réduite, 298 741 personnes sont inscrites à Pôle emploi Pays de la Loire. On enregistre une augmentation de +1.3% de la demande d’emploi régionale (catégories A, B, C) au cours du mois de décembre 2014 (soit  3 730 personnes en plus). Cette situation est moins bien orientée que la moyenne nationale qui affiche pour le mois de décembre une progression de +0.8%(soit 41 900 personnes en plus)
Télécharger
Publié le 24 déc. 2014 - Pays de la Loire

Le marché du travail : publication - Novembre 2014

A la fin du mois de novembre 2014,  174 770 demandeurs d’emploi sont inscrits en catégorie A dans les Pays de la Loire. Cela représente une hausse mensuelle de +2,2% soit 3 782 demandeurs en plus.La situation régionale  est ce mois-ci,  moins bien orientée que celle de la France où la demande d’emploi a progressé de +0.8% soit 27 400 demandeurs d’emploi en plus.   En novembre, la situation sur le marché du travail régional est plus préjudiciable pour la demande d’emploi masculine (+2,8%) que féminine (+1,5%).  Toutes les catégories d’âges souffrent de cette progression. Les moins de 25 ans enregistrent une croissance mensuelle de +1,9%, les 25 / 49 ans sont les plus touchés avec une hausse de +2,6%. Les demandeurs d’emploi de 50 ans et plus affichent une dégradation plus limitée : +1,4%.  Tous les départements sont concernés par la hausse ce mois-ci. Celle-ci est moins marquée pour la Sarthe (+1,6%) et pour le Maine-et-Loire (+1,8%). Elle l’est d’avantage pour la Mayenne (+2,1%) et la Loire Atlantique (+2,3%). La Vendée affiche la hausse la plus soutenue (+3,3%).  Sur un an, la demande d'emploi de catégorie A est en progression de 8,1% en Pays de la Loire. La hausse régionale est supérieure à la moyenne nationale (+ 5.8%).   En intégrant l'activité réduite, on enregistre également une hausse en Pays de la Loire de la demande d’emploi (catégories A, B, C) au cours du mois de novembre (+0,7% soit 2 157 personnes de plus). Cette hausse est plus appuyée qu’au niveau national (+0,4% soit 22 100 personnes en plus).  
Télécharger
Publié le 27 nov. 2014 - Pays de la Loire

Le marché du travail : publication - Octobre 2014

Après une diminution intervenue le mois dernier (-0.2%), la demande d’emploi de catégorie A progresse en octobre en Pays de la Loire, en données CVS, de 1,4 % (soit 2 319 demandeurs d’emploi de plus).  La situation régionale est ce mois ci moins bien orientée que celle de la France où la demande d’emploi a progressé de +0.8% soit 28 400 demandeurs d’emploi en plus.    En octobre, la situation sur le marché du travail régional est plus préjudiciable pour la demande d’emploi masculine (+1,7%) que féminine (+1,0%).Toutes les catégories d’âges souffrent de cette progression. Les moins de 25 ans sont les plus touchés avec une croissance mensuelle de 2,7%. Les demandeurs d’emploi de 50 ans et plus enregistrent une hausse de 1,0%. Excepté, la Vendée qui voit sa demande d’emploi se réduire de 0,2%, les autres départements enregistrent une progression. La Mayenne (+ 3,1%) affiche la plus forte hausse mensuelle, suivie du Maine et Loire (+1,9%) et de la Loire Atlantique (+1,7%). La Sarthe (+0,8%) affiche une augmentation plus modérée et inférieure à la moyenne régionale. Sur un an, la demande d'emploi de catégorie A est en progression en Pays de la Loire (+6,4%). La situation régionale est supérieure à la moyenne nationale (+ 5.5%). En intégrant l'activité réduite, on enregistre également une hausse en Pays de la Loire de la demande d’emploi (catégories A, B, C) au cours du mois d’octobre (+0,9% soit 2 554 personnes de plus). Cette situation est moins bien orientée que la moyenne nationale qui affiche une progression de +0.5 % (soit 26 000 personnes en plus)
Télécharger
Publié le 24 oct. 2014 - Pays de la Loire

Le marché du travail : publication - Septembre 2014

  Après la progression observée le mois dernier, la demande d’emploi de catégorie A diminue en septembre en Pays de la Loire, en données CVS, de -0.2% soit 311 demandeurs d’emploi en moins.  La situation régionale est ce mois ci est mieux orientée qu’au niveau France où la demande d’emploi a progressé de +0.6% soit 19 200 demandeurs d’emploi en plus.    En septembre, la situation sur le marché du travail régional est plus favorable à la demande d’emploi masculine (-0.5%) que féminine (+0.1%). Les demandeurs d’emploi de moins de 25 ans voient leur nombre diminuer (-0.2%). La catégorie des demandeurs d’emploi âgés de 25 à 49 ans enregistre également une baisse (-0.4%). A l’inverse, la demande d’emploi des 50 ans et plus s’accroît de +0.4%. Excepté, la Loire Atlantique qui affiche une augmentation de la demande d’emploi catégorie A en données CVS (+1.0%), les départements de la Vendée (-0.6%) du Maine et Loire (-1.2%) et de la Mayenne (-1.8%) connaissent une situation bien orientée. La Sarthe enregistre une diminution équivalente à la moyenne régionale (-0.2%)   Sur un an, la demande d'emploi de catégorie A est en progression en Pays de la Loire (+4.2%). La situation régionale est inférieure à la moyenne nationale (+ 4.3%).   En intégrant l'activité réduite, 290 300 personnes sont inscrites à Pôle emploi Pays de la Loire. On enregistre une augmentation de +0.8% de la demande d’emploi régionale (catégories A, B, C) au cours du mois de septembre 2014 (soit  2 320 personnes en plus). Cette situation est mieux orientée que la moyenne nationale qui affiche pour le mois de septembre une progression de +1.0% (soit 50 200 personnes en plus)
Télécharger
Publié le 24 sept. 2014 - Pays de la Loire

Le marché du travail : publication - Août 2014

La région des Pays de la Loire affiche en août, une dégradation de la situation du marché du travail, +0.8% en données CVS. Ainsi, à fin août 2014, 168 980 personnes sont inscrites en catégorie A soit 1 383 personnes de plus. La situation régionale est moins bien orientée que celle de la France où la demande d’emploi diminue de -0.3% soit 11 100 demandeurs d’emploi en moins.   Ce mois-ci, l’évolution du marché du travail régional est plus préjudiciable à la demande d’emploi féminine (+1.2%)  que masculine (+0.5%). Toutes les tranches d’âges sont concernées par cette dégradation. Les demandeurs d’emploi de moins de 25 ans voient leur nombre progresser de +1.1%. La demande d’emploi des plus de 50 ans augmente quant à elle de 0.9%. La catégorie des demandeurs d’emploi de 25 à 49 ans enregistre une hausse de 0.7%. L’analyse départementale fait apparaitre des situations contrastées. Ainsi, seul le département de la Loire Atlantique affiche une diminution de la demande d’emploi catégorie A en données CVS (-0.6%). Les départements de la Mayenne (+3.0%), du Maine et Loire (+2.2%) et de la Vendée (+1,6%) connaissent les plus fortes progressions. L’évolution de la demande d’emploi de la Sarthe (+0.6%) est la plus faible et en deçà de la moyenne régionale. Sur un an, la demande d'emploi de catégorie A est en progression en Pays de la Loire (+6.9%). La situation régionale reste supérieure à la moyenne nationale (+5.2%).   En intégrant l'activité réduite, 287 980 personnes sont inscrites à Pôle emploi Pays de la Loire. On enregistre une diminution de – 0.4% de la demande d’emploi régionale (catégories A, B, C) au cours du mois d’août 2014 (soit  1 186 personnes en moins). Cette situation est mieux orientée que la moyenne nationale qui affiche pour le mois d’août une diminution de -0.1% (soit 5 800 personnes en moins)
Télécharger
Publié le 27 août 2014 - Pays de la Loire

Le marché du travail : publication - Juillet 2014

Après les progressions successives observées depuis le début de l’année, la demande d’emploi de catégorie A inverse la tendance et diminue en juillet en Pays de la Loire, en données CVS, de -1,2% (soit 2 002 personnes de moins). Ainsi, à fin juillet 167 597 personnes sont inscrites à Pôle emploi en catégorie A. La situation régionale est mieux orientée que celle de la France où la demande d’emploi augmente de +0.8 % soit 26 100 demandeurs d’emploi en plus.      Ce mois-ci, l’évolution du marché du travail régional est plus favorable à la demande d’emploi féminine (-1,4%)  que masculine (-1,0%). Les jeunes demandeurs d’emploi voient leur nombre diminuer de 0,6%. La demande d’emploi des séniors suit elle aussi cette tendance favorable avec une baisse de 0,5% sur juillet. La catégorie des demandeurs d’emploi âgés de 25 à 49 ans enregistre quant à elle une baisse de 1,6%.   Tous les départements sont concernés par la diminution de la demande d’emploi catégorie A. Ainsi les départements de la Vendée (-2,0%), de la Mayenne (-1,7%), de la Loire Atlantique (-1,4%) et de la Sarthe (-1,1%) voient leur situation mieux orientée. Pour le département du Maine et Loire la diminution se situe à 0,1%.   Sur un an, la demande d'emploi de catégorie A est en progression en Pays de la Loire (+4.9%). La situation régionale reste supérieure à la moyenne nationale (+4.3%).   En intégrant l'activité réduite, 289 166 personnes sont inscrites à Pôle emploi Pays de la Loire. On enregistre une progression de 0,7% de la demande d’emploi régionale (catégories A, B, C) au cours du mois de juillet 2014 (soit  1 895 personnes en plus). Cette évolution est moins élevée que la moyenne nationale (+0.8% soit 40 600 personnes de plus).  
Télécharger